频 道: 首 页 |新 闻|国 际|财 经|体 育|娱 乐|港 澳|台 湾|华 人|科 教|图 片|图片库|时 尚
汽 车 |房 产|视 频|商 城|供 稿| 产经资讯 |出 版|广告服务|演出信息|心路网
■ 本页位置:首页新闻中心经济新闻
关键词1: 关键词2: 标题: 更多搜索
【放大字体】  【缩小字体】
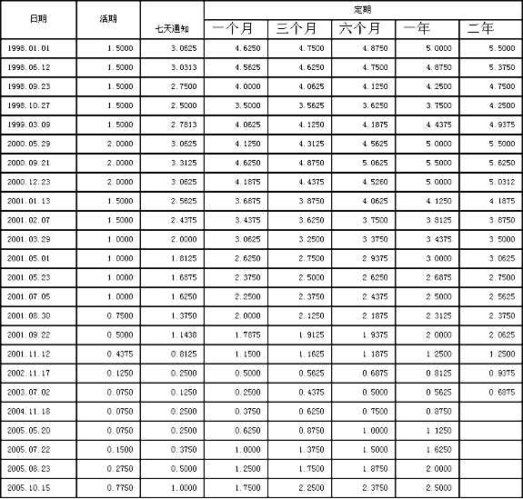
央行公布1998年以来境内美元存款利率调整情况

2005年10月17日 13:41

  中新网10月17日电 据央行网站消息,中国人民银行今日公布1998年以来境内美元存款利率调整表。

  据显示,98年以来,中国对境内美元存款利率调整了24次。10月15日,境内美元活期存款利率调整为0.7750%。定期一个月、三个月、六个月、一年利率分别调整为1.75%、2.25%、2.375%和2.5%,这次是2005年的第四次调整,比8月23日调整后的利率再次提高0.5%。

 

 

 

 

 

 

 

1998年以来境内美元存款利率调整表

(年利率:%)

 
编辑:姚笛】
 


  打印稿件
 
关于我们】-新闻中心 】- 供稿服务】-广告服务-【留言反馈】-【招聘信息】-【不良和违法信息举报
本网站所刊载信息,不代表中新社观点。 刊用本网站稿件,务经书面授权。法律顾问:大地律师事务所 赵小鲁 方宇
建议最佳浏览效果为1024*768分辨率
[京ICP备05004340号]